
Antioxidant 565
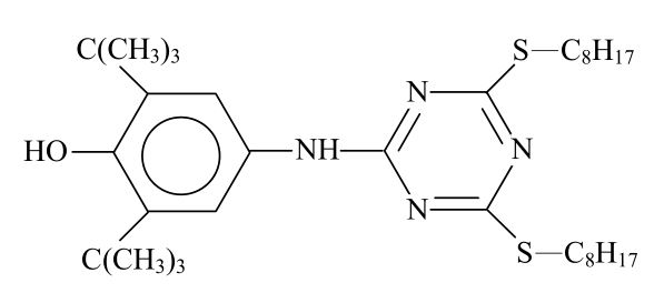
Chemical Name: 2,4-Bis(octylthio)-6-(4-hydroxy-3,5-di-tert-butylanilino)-1,3,5-triazine CAS No.: 991-84-4 Chemical Formula:C33H56N4OS2
Description
Chemical Name: 2,4-Bis(octylthio)-6-(4-hydroxy-3,5-di-tert-butylanilino)-1,3,5-triazine
CAS No.: 991-84-4
Chemical Formula:C33H56N4OS2
Molecular Weight:589
Chemical Structure:

Appearance | White to off-white powder |
Assay(HPLC) | 98.0% min |
Melting Point | 91 ~ 96℃ |
Loss on Drying | 0.5% max |
Ash | 0.1% max |
Transmittance | at 425 nm 90.0% min |
(2 g in 20 ml toluene) | at 500 nm 95.0% min |
Package | 20kg/Carton |
Applications:
It’s a highly effective antioxidant for a variety of elastomers including polybutadiene (BR),polyisoprene (IR), emulsion styrene butadiene (SBR), nitrile rubber (NBR), SIS. It is also used in adhesives (hot melt, solvent-based), natural and synthetic tackifier resins, EPDM, ABS, impact polystyrene, polyamides, and polyolefins.
It is highly effective at low concentrations, matching the performance of other stabilizers at higher levels. It is non-staining and due to its low volatility, it’s not lost during polymer processing, drying or storage. It can be used in a wide variety of applications.In unsaturated elastomers, it prevents gel formation, maintains excellent polymer color, and prevents changes to molecular weight (e.g. Mooney viscosity).
The dosage levels of Antioxidant 565 vary by polymer and range from 0.05% to 0.5%. Extensive performance data is available in many of the substrates mentioned above. The relatively low melting point allows easy dispersion in elastomeric substrates by commonly used melt compounding techniques or it can be incorporated into process streams by dissolving in suitable organic solvents or aromatic extender oils.
Hot Tags: antioxidant 565, China, manufacturers, factory, customized, quotation, in stock, free sample
Send Inquiry
You Might Also Like







